水体氮污染是全球环境问题的一个重点研究内容。传统的污水脱氮主要通过好氧硝化和厌氧反硝化技术,但由于传统好氧硝化菌和厌氧反硝化菌生理生化特征和生长环境条件的巨大差异,好氧反应器和厌氧反应器需各自独立运行,这显著增加了工艺复杂度和运行成本。此外,传统硝化-反硝化微生物世代繁殖时间长,硝化—反硝化速率低,不耐受高氨、高COD、极端环境(pH、温度、重金属)等条件,这制约了其应用范围。最近,研究人员发现一类新型微生物——异养硝化-好氧反硝化(Heterotrophic nitrification-aerobic denitrification,HN-AD)菌,兼具硝化和反硝化微生物特性,能够同步进行硝化反硝化,这引起了水处理行业的广泛的关注。但以前分离的HN-AD菌株多集中于处理低氨氮废水,且在处理氨氮废水时存在亚硝酸盐和硝酸盐的积累,这极大的限制了其应用范围。
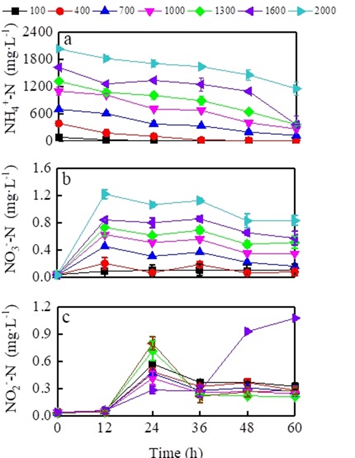
基于此,中国科学院亚热带农业生态研究所吴金水研究员团队从长期处理高浓度养猪废水的绿狐尾藻人工湿地中分离出一株新型高效异养硝化-好氧反硝化菌——Alcaligenes faecalis strain WT14。研究发现,不同于以往分离的Alcaligenes faecalis,该菌株具备多种形态氮(氨氮、硝氮和亚硝态氮)去除能力,且能够耐受和去除高达2000 mg/L的氨氮,不存在硝态氮和亚硝态氮的积累,最大氨氮去除速率达到55.9 mg/L/h。通过响应面模型,得出菌株WT14的最佳脱氮条件为20.1 ℃,104.4 r/min,C / N 14.7和pH 7.5。
该研究以Nitrogen removal characteristics of a novel heterotrophic nitrification and aerobic denitrification bacteria, Alcaligenes faecalis strain WT14为题发表在Journal of Environmental Management上。本研究得到了中国科学院战略性先导科技专项(XDA23020402和XDA23020502)的资助.

菌株WT14在不同环境条件下的TN去除3D和2D响应面模型

菌株WT14对不同浓度氨氮的去除
附件下载:

