近日,中国科学院广州生物医药与健康研究院邱发洋课题组完成了天然产物Lycoposerramine R和Lycopladine A的发散性不对称全合成。相关研究成果于3月9日在线发表在Chemical Communication(《化学通讯》)上。
Lycoposerramine R和Lycopladine A是石松属fawcettimine类生物碱,由于这类生物碱具有复杂的稠环结构和重要的生物活性,它们引起了合成化学家的广泛关注,来自加州大学Berkeley分校的Richmond Sarpong和慕尼黑大学的Dirk Trauner等世界著名的教授先后报道了这两个天然产物的全合成。
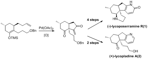
广州生物院研究员邱发洋的课题组采取新的策略,从易得的手性源(5R)-5-甲基-2-(苯硫基)环己酮出发,通过Michael加成,钯催化的分子内烯醇硅醚和烯烃的偶联等关键反应合成得到共同中间体,再通过不同的转化,分别以9步和7步完成了Lycoposerramine R和Lycopladine A的全合成。
该合成策略简洁、高效,并具有高度的通用性,可用于合成一系列fawcettimine类生物碱。项目得到了国家自然科学基金项目(21372221和21572228)的资助。

天然产物Lycoposerramine R和Lycopladine A的全合成路线
附件下载:

