花的变化及性系统的多样性是被子植物最重要的属性之一,对繁殖扩散,遗传变异具有重要意义,是植物适应性进化和多样性维持的重要原因。正因为如此,花的结构和植物性系统受到生物学家长期关注。二型花柱作为特别的性系统表现式样,出现在至少25个被子植物科中。二型花柱的花型易识别,遗传基础相对简单,理论模型易被检测,是研究基因,形态,进化和功能之间相互联系的契机。
中国科学院华南植物园系统发育与繁殖生物学研究组袁帅等科研人员,调查了具有典型二型花柱系统的报春花属植物迎阳报春(Primula oreodoxa)的二型花柱和同型花柱的遗传机制。运用杂交授粉后代花型分离比例来验证报春花属中控制花型遗传的S-locus基因模型,并检验同型花柱是起源于S-locus内部的基因突变/重组还是起源于与S-locus 不相关的多基因修饰。
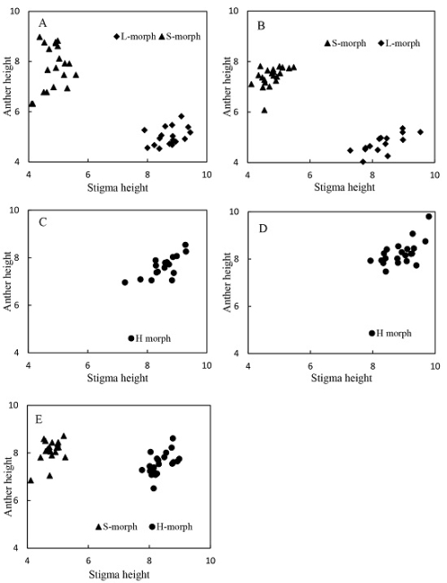
研究结果表明,迎阳报春花型遗传模式支持报春花属中控制花型的S-locus基因模型,并且长柱花基因型是ss,短柱花基因型是Ss或SS。同型花柱起源于S-locus内部的基因重组/突变,其至少携带一个Sh,对长柱花表现为显性,对短柱花表现为隐性。最近关于二型花柱遗传的分子机制进展更支持同型花柱的突变起源理论。5个自然种群后代花型检测表明短柱花比长柱花更易发生自花授粉,但是纯合的短柱花后代(SS)在野外有相对较低的存活率。
该研究得到国家自然科学基金和科技部基础专项基金的支持。相关研究结果近期在线发表在遗传学经典杂志Heredity上。详见https://www.nature.com/articles/s41437-018-0081-2

图1. 迎阳报春后代及不同花型结构的展示

图2. 迎阳报春不同花型杂交后代的雌雄蕊隔离程度
附件下载:

