二次离子质谱仪(SIMS)具有高精度微区原位分析能力,在进行矿物挥发分析尤其是水含量分析时,样品腔真空度将直接影响其检测限。仪器自身的抽气能力及样品靶的释气是影响样品腔真空度的关键因素。为获得超高真空,目前较常用的制靶方法是将矿物测试面提前打磨抛光,再将其压入铟表面。该方法对于大颗粒矿物的制备较简便,而对于粒度非常细小的单矿物,将矿物压入铟靶中时易使矿物破碎,因硬度低难以进行打磨抛光,所以不易获得平整的样品靶面,直接影响分析。
为解决以上难题,中国科学院广州地球化学研究所SIMS实验室张万峰和夏小平研究员等人进行了以下优化:
1.提出了一种全自动的液氮加注装置,其原理图如下图1,该装置能高效的发挥冷泵的作用,是一套轻型且自动控制的液氮加注装置,使样品腔处于较稳定状态,是一项为二次离子质谱仪长时间、稳定及自动化工作起到至关重要的改进。该技术已获中国发明专利,专利号:201610978411.7。
2.提出了一种适用于SIMS超高真空的单矿物的制靶技术,采用合金材料代替环氧树脂进行浇筑。该材料易浇筑,可打磨抛光,又不会污染样品、释气率极低,能有效的提高样品腔真空度。适用于样品的水含量及氧同位素分析。该研究成果以封面文章发表于最新一期的Journal of Analytical atomic spectrometry(图2)。
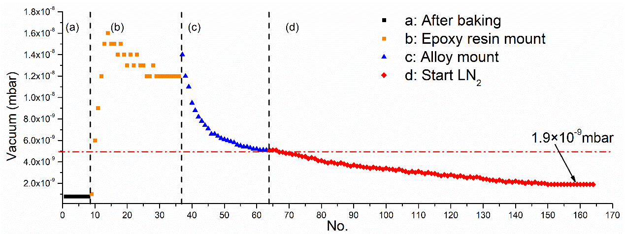
基于以上改进,实验结果表明利用合金材料能有效对不同粒径的样品进行制靶。在使用合金样品靶和自动化液氮制冷装置后,真空度从1.2×10-8mbar优化至1.9×10-9mbar(图3)。水含量分析结果表明,样品腔中背景低于10ppm。可满足无水矿物水含量分析。
该成果受广州市科技项目(No.201607020029)、国家自然科学基金(No. 41673010和41603045)和广州地球化学研究所仪器功能开发项目(GIG-GNKF-201601)的联合资助,成果以封面文章发表于Journal of Analytical Atomic Spectrometry上。
论文信息:Wanfeng Zhang, Xiaoping Xia, Yanqiang Zhang, Touping Peng and Qing Yang. A novel sample preparation method for ultra-high vacuum (UHV) secondary ion mass spectrometry (SIMS) analysis. Journal of Analytical Atomic Spectrometry,2018,DOI: 10.1039/c8ja00087e
原文链接:http://pubs.rsc.org/en/content/articlelanding/2018/ja/c8ja00087e#!divAbstract

图1 一种二次离子质谱仪样品腔真空度稳定性自动控制装置(发明专利)

图2 期刊封面(JAAS封面文章)

图3 真空度实测变化结果
附件下载:

